Skip to content

02 · 分子间作用力 分子晶体

分子间作用力

  1. 日常生活中,我们经常见到许多由分子聚集成的物质,它们常以液态或固态的形式存在,如汽油、水、冰、干冰等。降温加压时气体会液化降温时液体会凝固,这些事实表明分子之间存在着相互作用力

  2. 将分子聚集起来的作用力叫分子间作用力

    1. 共价分子间都存在分子间作用力

    2. 分子间作用力本质上是一种 静电作用,比化学键弱得多

    3. 范德华力氢键 是两种最常见的分子间作用力

范德华力

  1. 范德华力的特点

    1. 范德华力 很弱,比化学键的键能小 12 数量级

    2. 范德华力一般 没有方向性和饱和性

    3. 范德华力主要影响物质的 熔点、沸点、溶解度 等物理性质

  2. 影响因素:

    1. 组成和结构相似的分子,其范德华力一般 随着相对分子质量的增大而增大

    2. 相对分子质量相近时,分子的极性越大,范德华力一般也越大

    3. 对于相对分子质量相同、极性相似的分子,分子之间的接触面积越大,范德华力越大。如范德华力:正丁烷>异丁烷

      分子ArCOHIHBrHCl
      分子量4028128.581.536.5
      范德华力(KJ/mol8.508.7526.0023.1121.14
      1. 为什么范德华力:HI>HBr>HCl>CO

        答:相对分子质量越大,分子间作用力越大

      2. 为什么范德华力:CO>Ar

        答:分子极性越大,范德华力越大

  3. 对物质性质的影响因素

    1. 对物质熔、沸点的影响:由分子构成的物质中范德华力越大,物质的熔、沸点越高

    2. 对物质溶解性的影响:

      液体的互溶以及固态、气态的非电解质在液体里的溶解度都与范德华力有密切的关系。溶剂与溶质分子间作用力越大,溶质的溶解度越大。如 273K101kPa 时,氧气在水中的溶解量(49cm3L1)比氮气在水中的溶解量(24cm3L1)大,就是 OA2 与水分子之间的作用力比 NA2 与水分子之间的作用力大所导致的

      怎么解释卤素单质从 FA2IA2 的熔点与沸点越来越高

      答:组成和结构相似的分子,相对分子质量越大,范德华力越大,熔沸点越高

      范德华力主要影响物质的物理性质,而化学键主要影响物质的化学性质

氢键

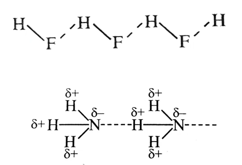
  1. 概念:由已经与电负性很强的原子(如 FON)形成共价键的氢原子,与另一个分子中电负性很强的原子之间的作用力

  2. 表示:通常用 AHB,ABNOF 等中的一种,「」表示共价键,「」表示氢键

  3. 特征:比化学键的键能小,但比范德华力强,不属于化学键

  4. 存在:

    1. HA2OHFNHA3、含氧酸、含氧酸的酸式盐、醇、羧酸、酚等

    2. 醛、酮等有机物,虽有 HA2O 存在,但与 H 原子直接连接的是电负性较小的 C,故分子之间不能形成氢键

  5. 氢键和范德华力共存:

    HA2OHFNHA3 的分子之间 既存在范德华力又存在氢键。因此,把冰融化或把水汽化不仅要破坏范德华力,还必须提供额外的能量破坏分子间氢键,不能认为有氢键就不存在范德华力

特点

  1. 方向性

    XHY 三个原子一般在同一直线上,在这样的方向上成键两原子电子云之间的排斥力最小,形成的氢键最强,体系最稳定

  2. 饱和性

    每一个 XH 只能与 1Y 原子形成氢键,这是因为 H 原子半径很小,若再有一个原子 Y 接近时,则 Y 会受到 X 原子电子云的排斥

    平均 1 分子 HF,只有 1 个氢键;平均 1 分子 NHA3,只有 1 个氢键;平均 1 分子 HA2O,只有 2 个氢键

分子内氢键与分子间氢键

邻羟基苯甲醛能形成分子内氢键,而对羟基苯甲醛能形成分子间氢键。当对羟基苯甲醛熔融时,需要消耗较多的能量克服分子间氢键,所以对羟基苯甲醛的熔点高于邻羟基苯甲醛。邻羟基苯甲酸和对羟基苯甲酸也有类似的现象

总结:形成分子内氢键会降低物质熔点 (意味着分子间氢键数目减少,熔点降低)

氢键对物质物理性质的作用

  1. 含有分子间氢键的物质具有较高的熔点、沸点

    HA2O>HA2Te>HA2Se>HA2 S

    HF>HI>HBr>HCl

    NHA3>SbHA3>AsHA3>PHA3

    HA2O>HF>NHA3

  2. 形成分子内氢键会降低物质熔点

  3. 含有分子间氢键的液体一般黏度比较大

  4. 分子间氢键的存在使溶质在水中的 溶解度 比较大

  5. 含有分子内氢键的物质具有 较低的熔、沸点

  6. 对物质密度的影响:氢键的存在会使某些物质的密度反常,如水的密度比冰的密度大

  7. 对相对原子质量测定的影响:例如接近水的沸点的水蒸气的相对分子质量测定值比按化学式 HA2O 计算出来的相对分子质量大一些,原因是水分子因氢键而相互缔合

分子晶体的概念

  1. 概念:只含 分子 的晶体,或者分子间以 分子间作用力 结合形成的晶体

  2. 分子晶体中的粒子及粒子间的相互作用

    {
  3. 常见的典型分子晶体

    1. 所有 非金属氢化物:如 HA2OHA2SNHA3CHA4HX (卤化氢)等

    2. 部分 非金属单质:如 X2 (卤素单质)、OA2HA2SA8PA4CA60 、稀有气体等

    3. 部分 非金属氧化物:如 COA2SOA2NOA2PA4OA6PA4OA10

    4. 几乎所有的 :如 HA2SOA4HNOA3HA3POA4HA2SiOA3

    5. 绝大多数 有机物 :如 苯、四氯化碳、乙醇、冰醋酸、蔗糖 等

  4. 分子晶体的物理性质

    1. 分子晶体熔、沸点较低 ,硬度很小 (多数分子晶体在常温时为气态或液态)

      Hg 、离子液体 外,常温常压下呈气体或液体都是分子晶体

    2. 分子晶体不导电

    3. 分子晶体的溶解性一般符合「 相似相溶 」规律

      BrA2CClA4 均为非极性分子,「相似相溶」,可相互溶解

      BrA2 不易溶于 HA2O (极性分子)

堆积类型分子密堆积分子非密堆积
微粒间作用力范徳华力范德华力和氢键
空间特点通常每个分子周围有 12 个紧邻的分子每个分子周围紧邻的分子数小于 12 个,空间利用率不高
举例CA60、干冰、IA2OA2HFNHA3、冰

常见分子晶体的结构分析

分子非密堆积:冰晶体

  1. 条件:分子间的主要作用力是氢键

  2. 结构:冰晶体中,水分子间主要通过 氢键 形成晶体。由于氢键具有一定的 方向性,一个水分子与周围四个水分子结合,这四个水分子也按照同样的规律再与其他的水分子结合。

    这样,每个 O 原子周围都有四个 H 原子,其中两个 H 原子与 O 原子以共价键结合,另外两个 H 原子与 O 原子以氢键结合,使水分子间构成 四面体 骨架结构。其结构可用下图表示

  3. 性质:由于氢键具有方向性,冰晶体中水分子未采取密堆积方式,这种堆积方式使冰晶体中水分子的空间利用率不高,留有相当大的空隙。当冰刚刚融化成液态水时,水分子间的空隙 减小 ,密度反而增大,超过 4°C 时,分子间距离 加大 ,密度逐渐减小

分子密堆积:干冰

  1. 条件:分子间作用力只有范德华力,无分子间氢键

  2. 结构:固态 COA2 称为干冰,干冰也是分子晶体。 CO2 分子内存在 C=O 共价键,分子间存在 范德华力CO2 的晶胞呈面心立方体形,立方体的每个顶角有一个 CO2 分子,每个面上也有一个 CO2 分子。每个 COA2 分子与 12CO2 分子等距离相邻(在三个互相垂直的平面上各 4 个或互相平行的三层上,每层上各 4 个)

  3. 性质:干冰的外观很像冰,硬度也跟冰相似,熔点却比冰低得多,在常压下极易升华,在工业上广泛用作制冷剂;由于干冰中的 COA2 之间只存在 范德华力 不存在 氢键 ,密度比 的高。

闽ICP备2025099091号